Home Hardware Features Screenshots FAQ Pricing Support Download

catoolRT Screenshots

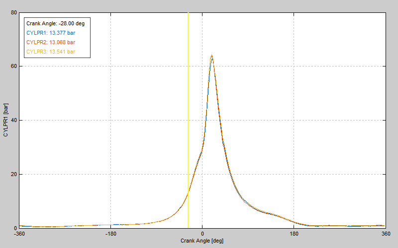
Crankangle Cylinder Pressure Diagram

Crankangle Diagrams

Standard cylinder pressure crank angle diagram. The positions of Start of Combustion (SOC) and MFB50 identified on diagram.

GMEP versus Maximum Cylinder Pressure

Scatter Plots

Gross IMEP (GMEP) plotted against Maximum Cylinder Pressure (PMAX). Moving the mouse cursor close to a point will identify the cycle number. Clicking on the point will change all crank angle plots to that cycle.

Log pV Diagram

Log pV Diagram

X axis set as volume and both axes plotted with logarithmic scale

Cylinder Pressure Envelope

Data Envelope

Cylinder pressure plot with SOC and MFB50 again identified. The cylinder pressure envelope has been plotted to indicate the range of data. The envelope could also be from another data file so you can compare current combustion data to a reference condition.

Cyclic Analysis Data

Cyclic Data

Cycle peak knocking pressure. Note the cycle closest to the mouse pointer is highlighted in green. Clicking this point changes all crank angle plots to that cycle.

Knock sensor FFT

Fast Fourier Transform

Fourier analysis of knock sensor signal to determine knock control centre frequencies

Pseudo 3D plot

Pseudo 3D Diagrams

Pseudo 3D plot of MFB50 versus Estimate End of Combustion. Marker colour is colour map of GMEP. Diagram style of AVL Blue (IndiCom)

Cylinder pressure waterfall plot

Waterfall Plots

Cylinder pressure plot in waterfall style showing current and previous fifteen cycles.

Cursor

Cursors & Legends

Cursor and legend for instant measurements. Diagram in MATLAB R2014b onwards style

Datalist

Data Lists

Datalist of current cycle calculations including minimum, maximum, mean and standard deviation statistics.

catoolRT main window

Multiple Diagrams

The catoolRT window can contain any number of user configured diagrams for real time monitoring or analysis of recorded data.

Cylinder Pressure and Mass Fraction Burned

Multiple Channels

Cylinder pressure and Mass Fraction Burned (MFB) plotted on same axes. Cursors enable easy determination of values. Plot is in the alternate "MATLAB" style.

Cyclic data diagram

Invert Colours

All plots are easily inverted between black or white background depending on your viewing preference.

Knock sensor waterfall FFT

Waterfall FFT

Waterfall plot of knock sensor FFT. Diagram style of LabVIEW

Two axes

Two Axes

Two axes enables plots of varying scales. Diagram in Excel 2013 style

Engine configuration window

Engine Configuration

The engine geometry and type is fully configurable. catoolRT supports spark and compression ignition, 2 and 4 stroke cycles and any number of cylinders.

Analysis configuration window

Analysis Configuration

The types of analysis performed in real time can be configured to reduce processor loading. The number of cycles that can be acquired is limited only by system memory.

CAN channel configuration window

CANbus Input

Acquire CANbus channels on a cyclic basis. Signals can be defined using CANdb++ database files.

Select channels window

Channel Selection

Selecting data for display or CAN output is simple. Select the raw channel in the tree on the left of the window and a list of analysis channels is displayed for selection.

ATI VISION channel configuration window

ATI VISION Integration

In addition to crank angle based data acquisition catoolRT can acquire for each combustion cycle PCM parameters via an interface to ATI VISION.

CANbus configuration window

CANbus Output

Any cycle based calculations or their statistic can be broadcast on CANbus using Vector, Kvaser or PEAK hardware. This also includes virtual CAN interfaces that can be logged in other applications such as LabVIEW or ATI VISION.

Configure Alarms

Alarms

Configure alarms to trigger on-screen warning messages, output CAN message and/or trigger digital output

Abscissa configuration window

Variable Abscissa

The measurement cycle can be split in up to three resolutions. This enables high resolution analysis during the combustion phase with the benefit of reduced processing and storage requirements.

TDC Determination

TDC Determination

TDC determination tool during motored non-firing combustion in dyno or fuel off deceleration in-vehicle

ATI Vision Recording

Calibration Synchronisation (CalSyncTM)

Log fully time aligned combustion analysis with PCM parameters. Note that cycle calculations are available at the start of the combustion cycle.

Dyno Interface

Dyno Interface

Simple display of dyno and PCM information acquired with low speed DAQ of analogue and digital signals and CANbus.

ETAS INCA

ETAS INCA

Easily display and record combustion parameters in ETAS INCA